枚岡神社
東大阪市出雲井町7-16 (平成20年1月2日)
東経135度39分5.74秒、北緯34度39分59.91秒に鎮座。
この神社は近鉄奈良線・枚岡駅ホームの横に「元春日平岡大社」の石碑が建ち、参道が東へ延びそのまま神社に行き着きます。 駅からの階段を上り、170号線を越えると大きな鳥居が建ち、広い参道には露天屋台が軒を並べています。賑やかに人々が行き交う手水脇の脇には、注連柱に架けられた飾り結びの〆の子が珍しい注連縄が架けられ、石段を登るとすぐに大きな拝殿が建っています。拝殿後方、中門と回廊に囲まれた垣の中には、四棟並んだ美しい朱の春日造の本殿が並び建っています。本殿背後の神津嶽には摂社・神津嶽本宮、本殿南に続く参道脇には摂社・若宮神杜、更に南には末社・天神地祇社が祀られ、その一帯は「枚岡神社梅林」として春は観梅の人達で賑わうそうです。
神津嶽を背後に抱くこの社は、鎮守の杜のすばらしさ社殿の雅さなど抜群の景観で、お正月の賑わいの中にも神域の神々しさが感じられ、普段の静けさが感じられる日に是非とも再訪したい…と思わせられる神社でした。
御祭神:第一殿・天児屋根大神、第二殿・比売神(天児屋根大神の后神)、第三殿・斎主大神(経津主神)、第四殿・武甕槌大神
例祭日:1月11日・粥占神事、1月15日・粥占報賽祭、2月1日・例祭、2月3日又は4日・節分祭、5月21日・平国祭、8月25日・風鎮祈願祭、9月25日・風鎮報賽祭等、10月14・15日・秋郷祭、12月25日・注連縄掛神事、お笑いの神事
摂社:若宮杜、末社:天神地祇社、神津嶽遥拝所
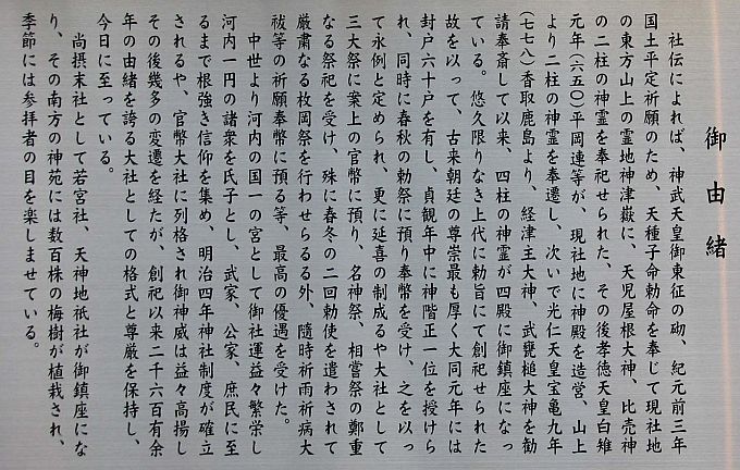
由緒:社伝によれば、神武天皇紀元前3年(神武天皇即位の3年前)、神武天皇の侍臣で中臣氏の祖の天種子命が、天皇の命で神津岳の頂に祖神の天児屋根神を祀ったのに始まると伝えられます。神津岳の頂が平らな丘であったことから「平岡(枚岡)」の社名が生まれたといい、中臣氏の支流の平岡連の氏神として信仰されました。白雉元年(650)、平岡連によって山頂から中腹の現在地に遷座されました。神津岳山頂には現在も奥宮があります。
神護景雲2年(768)、奈良に春日大社を創建するにあたり、この社の祭神・天児屋根大神、比売神二柱を分祀したことから、元春日社と呼ばれることになり、宝亀9年(778)には春日大社から武甕槌大神と斎主大神の二神の分霊を奉斎しました。延喜式神名帳では名神大社に列し、中世には河内国一宮と呼ばれるようになり、明治4年(1871)、官幣大社に列せられました。


「粥占神事」案内はこちらで
駅ホームの横の
「元春日平岡大社」の石碑 |
近鉄奈良線・枚岡駅からの参道 |
 |
 |
| 近鉄奈良線・枚岡駅からの神社入口 |
参道の様子 |
 |
 |
| 境内入口の石段 |
鹿のブロンズ像下に設えられた手水 |
 |
 |
石段手前には、飾り結びの〆の子が珍しい
左綯いの注連縄が注連柱に架けられています。 |
 |
石段下左右にいる春日神社の眷属・鹿さん
右は角が付いている雄、左は珍しい子連れの雌です。 |
 |
 |
| (石工・小平次 弘化3年(1846)建立) |
| 境内への石段 |
拝殿正面
大きすぎて正面からは社殿全体を撮せません |
 |
 |
| 拝殿正面 |
中門と回廊 |
 |
 |
| 文政9年(1826)修造の四棟並んだ朱の春日造本殿 |
 |
| 回廊内にいる彩色の美しい中国製狛犬 |
 |
 |
| 神津嶽遥拝所? |
白水井 |
 |
 |
| 摂社:若宮杜 拝殿と本殿 |
 |
 |

| 末社:天神地祇社 拝殿と本殿 |
 |
 |
| 天神地祇社からの下り道脇の杜の様子 |
170号線に建つ大鳥居 |
 |
 |
