君津市白駒11(平成19年2月11日)
この神社は164号線から一本東を走る道路に面して鎮座していますが、地図の記載は「熊野神社」となっています。地図上では確かに此処なのに、神社名が違うので初めは戸惑いましたが、案内板の由緒を見て納得しました。
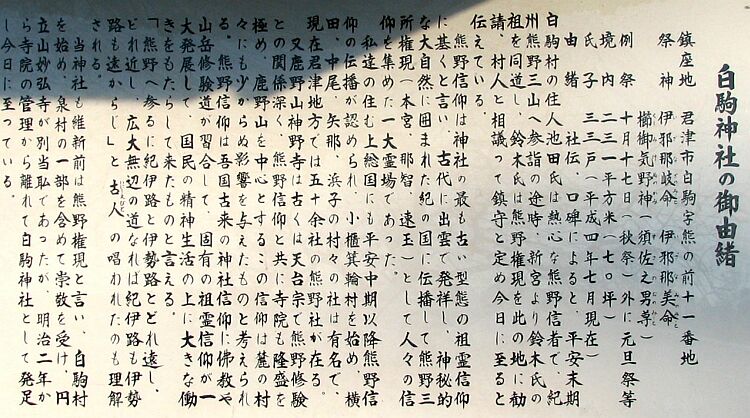
御祭神:伊邪那岐命,伊邪那美命,櫛御気野神
例祭:10月17日・秋祭、他に元旦祭など
由緒:社伝、口碑によると、平安末期白駒村の住民池田氏は熱心な熊野信者で、紀州熊野三山へ参拝の途時、新宮より鈴木氏の祖を同道し、鈴木氏は熊野権現をこの地に勧請、村人と相議って鎮守と定め今日に至ると伝えています。上総の国には平安時代中期以降に熊野信仰の伝播が認められ、現在君津地方には50余社の熊野社があります。この社は維新前は熊野権現と言い、白駒村を始め、泉村の一部を含めて崇敬を受け、円立山妙法寺が別当職でしたが、明治二年から寺院の管理から離れて白駒神社として発足し今日に至っています。
神社入口 | 階段の参道 |
昭和26年の建立ですが、所謂岡崎現代型ではなくて、江戸流れ狛犬です。 顔つきはゴジラの様な恐竜型で、鬣や尾は大きな渦巻きの跡で軽くカールして流しています。 狛犬の拡大写真はこちらで |
|
(石工・小糸二見石材店 昭和26年9月15日建立) | |
拝殿 | 本殿覆い屋 |
境内から見た神社前方の様子 | |
![]() |